在電機溫升試驗中電機繞組溫度的測量方法
電機溫升試驗是電機型式試驗中非常重要的試驗,電機溫升的高低,決定著電機絕緣的使用壽命。電機溫升試驗中繞組溫度測量的方法總得來說有溫度計法、熱電偶法、電阻法、埋置檢溫計法和雙橋帶電測溫法五種方法。
一、溫度計法測量電機繞組溫度
溫度計包括膨脹溫度計(例如水銀、酒精溫度計)、半導體溫度計及非埋置的熱電阻或電阻溫度計。溫度計法是直接測定電機溫度,最為簡便。但是溫度計僅能接觸到電機各部分的表面,且測量不當的話,環境對測量結果的影響非常大。
二、熱電偶法測量電機繞組溫度
熱電偶法是將熱電偶粘貼在設備部件表面,通過溫度測量儀測量設備部件表面的溫度來計算出溫升。用熱電偶法測量溫升的影響因素包括熱電偶、溫度測量儀、膠粘劑和測試的環境條件、試驗工程師的操作水平等。
采用熱電偶測量繞組的溫度時應考慮,由于熱電偶的讀數滯后于繞組的溫度變化,當電動機斷電后,熱電偶的溫度可能還會繼續上升,因此電動機繞組的溫度應記錄最高溫度,該溫度可能在斷電后才能達到。
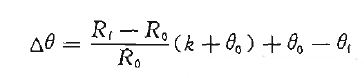
三、電阻法測量電機繞組溫度
電阻法測量電機繞組溫度是根據導體電阻隨著溫度升高而增大原理來測量的。
式中
K-----常數,對于銅K=234.5,對于鋁K=228;
R0----電動機運轉前所測的繞組電阻,單位為(?);
Rf----電動機額定負載運轉到溫度穩定后停機馬上測出的繞組電阻,單位為(?);
θ0----電動機運轉前繞組的溫度(即環境溫度)(℃);
θf----試驗完畢時電動機周圍的環境溫度(℃),一般t2值不等于t1。
四、埋置檢溫計法測量電機溫度
大功率電機一般都會在測溫點預埋置檢溫計,檢溫元件一般有熱電偶及電阻溫度計等。檢溫計的受熱端埋在槽的深處,檢溫計的引出端引至外面,接至測量儀表,借以讀出溫度。
五、雙橋帶電測溫法測量電機溫度
雙橋帶電測溫法測量電機溫度是指在不中斷交變的負載電流的情況下,在負載電流上疊加一微弱直流電流,以測量繞組直流電阻隨溫度而發生的變化從而確定交流繞組的溫升。
- 上一篇: 隔離變壓器通用的防觸電防護措施
- 下一篇: 兆歐表的選用方法原則及使用注意事項






