直流高壓發生器常規電力電纜試驗接線及計算方法
直流高壓發生器常規實驗之電力電纜試驗,理論上交流或直流高壓試驗回路內均應設置限流電阻R,其目的是當試品Cx回路放電或擊穿時起限制電流作用,不至于在高壓短路時損壞試驗設備。電纜試驗時如果電纜有故障,在電路中加入限流電阻,可以保護設備儀器。具體接線方式如圖所示:
根據國標《電氣設備交接試驗標準》:
1 、耐壓電壓保準
(1)紙絕緣電纜直流耐壓可采用下式計算:
對于統包絕緣(帶絕緣):
對于分相屏蔽絕緣:
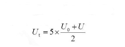
(2)18/30kV及以下電壓等級的橡塑絕緣電纜直流耐壓試驗電壓,應按下式計算:
2、直流高壓發生器進行試驗時,試驗電壓可分為4-6階段均勻升壓,每階段停留1分鐘,并讀取泄露電流值。試驗電壓升至規定電壓后維持15分鐘,期間讀取1分鐘和15分鐘時泄漏電流。測量時消除雜散電流的影響。
3、紙質絕緣電纜泄露電流不平衡系數不應大于2;當6/10KV及以上電纜的泄露電流小于20uA和6KV及以下電壓等級電纜泄露電流小于10uA,其不平衡系數不作要求。
檢查確認儀器等無異常情況后,接通單相交流220V電源開關,此時綠燈亮,表示電源接通。可開始進行試品的直流泄漏和直流耐壓試驗。
按紅色按鈕,則紅燈亮,表示高壓接通,待升高壓。
順時針方向平緩調節調壓電位器,輸出端即從零開始升壓。升壓速度以每秒3-5kV上升試驗電壓為宜。對于大電容試品升壓時則需要緩慢升壓,否則可能導致電壓過沖,還需監視電流表充電電流不超過直流發生器的最大充電電流。當升到所需的電壓或電流后,按規定時間記錄電流表及電壓表的讀數。
試驗完畢后,降壓,將調壓電位器回零后電贍綠色鈕,切斷高壓并關閉電源開關。
- 上一篇: 變壓器雷電沖擊試驗標準及試驗波形分析
- 下一篇: 高壓開關動特性測試儀常規測試設置方法













